- Research article
- Open Access
- Published:
The effectiveness of an online interdisciplinary intervention for mental health promotion: a randomized controlled trial
BMC Psychology volume 9, Article number: 77 (2021)
Abstract
Background
There is an urgent need for efficacious interventions to combat the global mental health crisis, and mental health promotion and primary prevention approaches are paramount. The aim of this study is to examine whether an online interdisciplinary intervention that incorporates evidence-based strategies from the disciplines of Lifestyle Medicine and Positive Psychology improves measures of mental health and emotional wellness.
Methods
A randomized controlled trial with a wait-list control (N = 425, aged 46.97 ± 14.5, 69.9% females) was conducted in Australia and New Zealand. The intervention group participated in a 10-week online interdisciplinary intervention. Primary outcome measures of mental health and emotional wellness were taken at baseline (Week 1), post-intervention (Week 12), and 12 weeks post-intervention (Week 24). The wait-list control completed the same assessments.
Results
General Linear Modelling analyses indicated that the intervention group experienced significantly greater improvements than the wait-list control group over time in all outcome measures: mental health (F(319) = 7.326, p = 0.007) and vitality (F(319) = 9.445, p = 0.002) subscales of the Short Form Survey (SF-36); depression (F(319) = 7.841, p = 0.005), anxiety (F(319) = 4.440, p = 0.36) and stress (F(319) = 12.494, p < 0.001) scales of the Depression, Anxiety and Stress Scale (DASS-21); and life satisfaction (F(319) = 8.731, p = 0.003) as measured by the Satisfaction With Life Scale. Within the intervention group, significant improvements were observed from Week 1 to 12 in all outcome measures: mental health (10%, t(167) = − 6.423), p < 0.001, dz = 0.50), vitality (22%, t(167) = − 7.043, p < 0.001, dz = 0.54), depression (− 41%, t(167) = 6.189, p < 0.001, dz = 0.48), anxiety (− 38%, t(167) = 5.030, p < 0.001, dz = 0.39), stress (− 31%, t(167) = 6.702, p < 0.001, dz = 0.52) and life satisfaction (8%, t(167) = − 6.199, p < 0.001, dz = 0.48). Improvements in the outcome measures remained significant in the intervention group at 12 weeks post-intervention.
Conclusion
The online interdisciplinary intervention improved measures of mental health and emotional wellness suggesting that such interventions may be useful for mental health promotion and prevention.
Trial registration The Australian New Zealand Clinical Trials Registry. ACTRN12619000993190. Registered on 12 July 2019 (Retrospectively registered). The ANZCTRN is part of the WHO Primary Registries.
Background
Mental health disorders have reached epidemic proportions worldwide [1]. In the United States (U.S.), the burgeoning costs of mental disorders constituent the most costly medical condition, amounting to 201 billion U.S. dollars annually, which surpasses heart conditions (147 billion U.S. dollars), trauma (143 billion U.S. dollars) and cancer (122 billion U.S. dollars) [2]. The current paradigm for the frontline treatment of affective disorders centres on pharmacological intervention. Antidepressant usage has doubled over the past decade in the United Kingdom [3]; is now ranked in the top three most commonly used therapeutic drug classes in the U.S. [4]; and is the most commonly used psychotropic medication in Australia [5]. Despite this increase, the incidence of depression continues to escalate [5,6,7].
This has led to repeated calls to address mental health on a population-level using a more integrative approach that includes non-pharmacological strategies such as lifestyle interventions, mental health promotion, education programs and psychological therapies [5, 7,8,9,10,11,12]. Greater focus on mental health promotion and prevention initiatives are needed to enhance the mental health on a population-level to serve as a protective buffer against mental illness [13] and reduce the burden of mental health disorders [14].
Over the past few decades, numerous evidence-based strategies for improving mental health and emotional wellness have emerged in the literature underpinning the disciplines of ‘Lifestyle Medicine’ and ‘Positive Psychology’ [15,16,17,18]. Lifestyle Medicine has historically focused on the prevention, management and reversal of chronic diseases through the promotion of exercise, a healthy diet, and sleep [16, 19,20,21,22,23,24,25,26], however, there is growing evidence that these lifestyle practices also have positive benefits on mental health [9, 27,28,29,30,31], For example, considerable literature is showing that dietary interventions can be used as an effective treatment strategy for depression [32]. Further, a meta-analysis has shown that exercise is beneficial for mental health [33]. The causal relationship between insomnia and depression [34] is well established; and quality sleep is known to be paramount to good physical and mental health [35, 36].
Positive Psychology focuses on pathways to promote human flourishing through exercises such as practicing gratitude, activating signature strengths, engaging in service activities and nurturing relationships [37,38,39,40]. The conclusion of two meta-analyses was that Positive Psychology interventions significantly enhance emotional wellbeing and decrease depressive symptoms [14, 41].
Lifestyle Medicine and Positive Psychology strategies have demonstrated efficacy for enhancing mental health and emotional wellness, however, they are often used in isolation. Interestingly, practitioners have been encouraged to prescribe multiple Positive Psychology strategies in a “shotgun approach”, rather than using a single strategy, as it may be more efficacious for their clients [41]. Additionally, the potential “compounding effects” of combining diet and exercise together, warrants further investigation of a more integrated approach using multiple lifestyle modifications [32].
Advances in online technology presents an opportunity to provide mental health promotion and primary prevention strategies that are easily accessible and available population-wide, as well as overcome barriers with face-to-face interventions and the stigma of mental health disorders [42,43,44,45]. Online interventions can also provide low-cost solutions for dissemination on a population-level.
This study investigated the effectiveness of a 10-week online interdisciplinary intervention, incorporating both Lifestyle Medicine and Positive Psychology strategies, for improving the mental health and emotional wellness of a community-based cohort.
Methods
Design and participants
The study used a non-blinded randomized controlled design. The treatment group participated in a 10-week intervention consisting of themed weekly sessions (see Table 1). Measurements of mental health and emotional wellness (mental health, vitality, depression, anxiety, stress and life satisfaction) were taken at baseline (Week 1), post-intervention (Week 12) and 12 weeks post-intervention (Week 24) (see Fig. 1). The wait-list control underwent the same measurements at times corresponding to the intervention group. The intervention was made freely available to the wait-list control at the completion of the study. Data was collected from July 2017 to February 2018 and analysed between 2018 and 2020. All procedures involving human subjects were approved by Avondale Human Research Ethics Committee [project number 2017:13]. The trial protocol is registered at The Australian New Zealand Clinical Trials Registry (ACTRN12619000993190).
The participants comprised of self-selected men and women from Australia and New Zealand who were recruited through a faith-based organization. The study was advertised in the faith-based organization’s internal communication channels including bulletins and magazines. The advertising materials did not target a clinical population. Instead, the intervention was promoted as an “emotional wellness” program. Inclusion criteria for participation in the study included: 18 years and older; fluent in English; and email and internet access. The inability to participate in moderate-intensity physical activity, such as walking, was an exclusion criteria for the study. Before randomization, the subjects agreed to participate in either arm of the study. The participants were then randomized into the intervention or wait-list control by a non-member of the research team using computer random number generation. Participants were then notified of their group allocation and were required to complete their enrollment and submit their informed consent.
Intervention
The intervention, referred to as “The Live More Project” or “The Lift Project” [46,47,48,49], is a 10-week program that integrates strategies from the Lifestyle Medicine and Positive Psychology literature. Underpinning the intervention is the Theory of Planned Behaviour (TPB) that aimed to facilitate behavioral change through three key areas: a shift in attitude towards emotional wellness through education; a change in perceived norms by promoting social engagement; and an increase in perceived control by encouraging the participants to achieve weekly challenges [50].
The intervention used an experiential pedagogical framework of Learn, Experience, Think, and Share (LETS) [46] facilitated through an e-learning management system. In each weekly session, the participants viewed a themed educational video that presented evidence-based strategies for promoting mental health and emotional wellness. The participants were then encouraged to engage in daily and weekly challenges by practically applying the lessons learnt from each topic (Table 1). The participants were awarded challenge points for successfully completing the tasks with a maximum of 100 challenge points per week. The e-learning management system incorporated gamification by ranking the participants’ challenge points on a leaderboard. The e-learning management system also included a social forum that allowed interaction between the participants. The participants were able to post pictures and comments relating to the challenges. The participants also received reading materials to expand upon the content presented in the videos, an e-workbook for journaling and reminder notifications to complete the weekly topics and challenges.
Outcomes and measures
All participants completed a self-reported wellness questionnaire, called the ‘7 Dimensions of Wellness Index’, three times during the study corresponding to baseline (Week 1), post-intervention (Week 12), and 12 weeks post-intervention (Week 24) of the intervention group. The questionnaire surveyed sociodemographic characteristics including age, sex ethnicity, marriage status, level of education, country of birth and validated instruments to determine the primary outcomes of mental health and emotional wellness as, outlined below.
Mental Health and Vitality
The 36-item Short Form Health Survey is deemed appropriate for use in general populations [51]. Two subscales where used in this present study: mental health (5 items) and vitality (4 items) subscale [52]. Studies have shown a Cronbach alpha of 0.90 for the mental health subscale and 0.87 for the vitality scale, indicating a good internal consistency [53, 54]. The present study observed a Cronbach alpha of 0.88 for mental health, 0.85 for vitality and 0.90 overall, indicating a good internal consistency.
Depression, Anxiety and Stress Scale
The 21-item Depression, Anxiety and Stress Scale (DASS-21) is suitable to measure depression, anxiety and stress (7 items per subscale) in both clinical and nonclinical populations [55]. Studies have indicated a good internal consistency with a Cronbach alpha range of 0.76 to 0.91 for the 3 subscales [56, 57] and > 0.90 for an overall score [58]. The present study observed a good internal consistency with a Cronbach alpha of 0.86 for depression, 0.68 for anxiety, 0.82 for stress and 0.79 for an overall score.
Satisfaction With Life Scale
The 5-item Satisfaction With Life Scale (SWLS) is used to measure global life satisfaction [59] across a broad age-range and applications [60]. A meta-analysis observed good internal consistency with a mean Cronbach alpha of 0.78 [61]. The present study observed a Cronbach alpha of 0.88 indicating good internal consistency.
Sample size calculation
The sample size was calculated using assumptions based on published pilot data [47] and included the following assumptions: equal allocation of participants to each group; an improvement in depression, anxiety and stress scores of over 20% within the treatment group; a 40% attrition rate, based on reported levels of attrition in other online interventions [39]; 80% power and significance level of 0.05 (95% confidence interval). A small to moderate effect size was predicted based on comparative primary prevention interventions [62].
Statistical analysis
The data were analysed using SPSS Statistics (version 25). Descriptive statistics, involving frequencies, means, standard deviations and confidence intervals were used to present the data. Repeated-measures analysis of variance (ANOVA), using the General Linear Modelling (GLM) function in SPSS, was used to test for group effects (intervention versus control), time effects (baseline to Week 12 and Week 24) and group versus time interactions. Only data from participants who had completed all three assessment periods were included in the analyses, except where specified. When significant, Bonferroni post-hoc analyses were used to determine significant changes from baseline to Week 12 and Week 24. Pearson’s correlation analysis was used to report the relationship between the outcome measures (see Additional file 2). The standardized difference method was used to calculate effect sizes (Cohen’s dz), calculated as the mean change between the respective timepoints divided by the standard deviation of the subjects’ mean difference scores. Missing data for age (n = 4) was replaced with the mean age and missing data for mental health outcomes were not included in the analysis.
Results
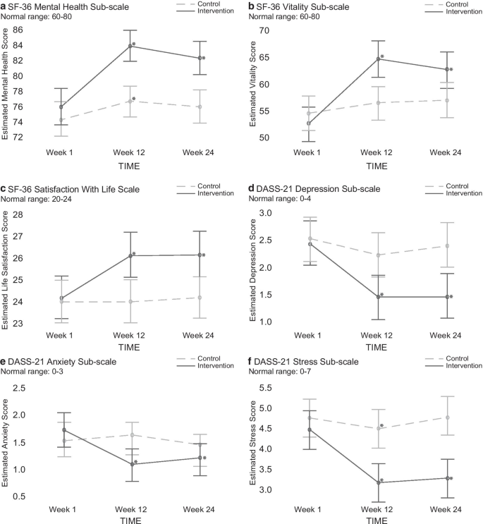
Between July and August 2017, 510 participants self-selected to participate in the study (see Fig. 1). The trial commenced in September 2017 and was completed February 2018 (Week 24). Of the 508 eligible participants, 425 (69.9% females, aged 46.97 ± 14.50) completed the baseline assessment and entered the study (217 intervention, 208 control). A total of 359 (85%) participants completed the post-intervention questionnaire (168 intervention, 191 control participants) and 321 (76%) completed the 12 weeks post-intervention questionnaire (159 intervention, 162 control). As shown in Table 2, the intervention and wait-list control were similar in age, sex, ethnicity, and education for the analysed data. There were no significant differences between the intervention and wait-list control in the baseline measures of: mental health (t(320) = − 0.843, p = 0.400) and vitality (t(320) = 0.881, p = 0.379) subscales of the Short Form Survey (SF-36); depression (t(320) = 0.277, p = 0.782), anxiety (t(320) = − 0.668, p = 0.504) and stress (t(320) = 0.982, p = 0.327) scales of the Depression, Anxiety and Stress Scale (DASS-21); and life satisfaction (t(320) = − 0.605, p = 0.546) as measured by the Satisfaction With Life Scale. All baseline measures were within the normal range (Fig. 2).
Outcome measures
As illustrated in Fig. 2, the GLM analyses indicated that the intervention group experienced significantly greater improvements than the wait-list control group over time in all outcome measures (interactions between condition and time): mental health (F(319) = 7.326, p = 0.007), vitality (F(319) = 9.445, p = 0.002), depression (F(319) = 7.841, p = 0.005), anxiety (F(319) = 4.440, p = 0.360), stress (F(319) = 12.494, p = < 0.001) and life satisfaction (F(319) = 8.731, p = 0.003). Post hoc analyses using independent samples t-tests indicated that the intervention group experienced significantly greater changes from Week 1 to Week 12 in all outcome measures: mental health (t(357) = − 3.958, p < 0.001, dz = 0.42), vitality (t(357) = − 4.279, p < 0.001, dz = 0.45), depression (t(357) = 3.195, p = 0.002, dz = 0.34), anxiety (t(357) = 4.325, p < 0.001, dz = 0.46), stress (t(357) = 3.508, p = 0.001, dz = 0.37) and life satisfaction (t(357) = − 4.702, p < 0.001, dz = 0.50). The improvements experienced by the intervention group remained significantly greater than the wait-list control at Week 24 compared to Week 1: mental health (t(319) = − 2.707, p = 0.007, dz = 0.30), vitality (t(319) = − 3.073, p = 0.002, dz = 0.34), depression (t(319) = 2.800, p = 0.005, dz = 0.31), anxiety (t(319) = 2.113, p = 0.035, dz = 0.24), stress (t(319) = 3.545, p < 0.001, dz = 0.40) and life satisfaction (t(319) = − 2.958, p = 0.003, dz = 0.33).
Within the intervention group, significant improvements were observed from Week 1 to 12 in all outcome measures: mental health (10%, t(167) = − 6.423), p < 0.001, dz = 0.50), and vitality (22%, t(167) = − 7.043, p < 0.001, dz = 0.54), depression (− 41%, t(167) = 6.189, p < 0.001, dz = 0.48), anxiety (− 38%, t(167) = 5.030, p < 0.001, dz = 0.39), stress (− 31%, t(167) = 6.702, p < 0.001, dz = 0.52), and life satisfaction (8%, t(167) = − 6.199, p < 0.001, dz = 0.48) as measured by SWLS (see Fig. 2 and Additional file 1). At Week 24, the changes in these measures from Week 1 remained significant for the intervention group: mental health (8%, t(158) = − 5.375, p < 0.001, dz = 0.43), vitality (19%, t(158) = − 5.997, p < 0.001, dz = 0.48), depression (− 40%, t(158) = 5.070, p < 0.001, dz = 0.40), anxiety (− 29%, t(158) = 4.211, p < 0.001, dz = 0.33), stress (− 26%, t(158) = 5.808, p < 0.001, dz = 0.46) and life satisfaction (8%, t(158) = − 5.875, p < 0.001, dz = 0.47).
In contrast, the wait-list control group experienced significant improvements from Week 1 to Week 12 only in mental health (2%, t(190) = − 2.210, p = 0.028, dz = 0.16) and stress (− 9%, t(190) = 2.092, p = 0.038, dz = 0.15), but not in vitality (4%, t(190) = − 1.710, p = 0.089, dz = 0.12), depression (17%, t(190) = 1.596, p = 0.112, dz = 0.12), anxiety (5%, t(190) = − 0.796, p = 0.427, dz = 0.05) or life satisfaction (0%, t(190) = 0.161, p = 0.872, dz = 0.14) (see Fig. 2 and Additional file 1). All measures for the wait-list control were similar at Week 24 to those at Week 1: mental health (2%, t(161) = − 1.382, p = 0.169, dz = 0.11), vitality (5%, t(161) = − 1.357, p = 0.177, dz = 0.11), depression (− 5%, t(161) = 0.598, p = 0.551, d = 0.05), anxiety (− 5%, t(161) = 0.444, p = 0.657, d = 0.03), stress (1%, t(161) = − 0.112, p = 0.991, dz = 0.01) and life satisfaction (1%, t(161) = − 0.365, p = 0.715, dz = 0.03).
At Week 24, the attrition rate was 24% for this study. There were no significant differences between the completors and dropouts in the following characteristics: age (p = 0.510), sex (p = 0.511), ethnicity (p = 0.081) and education (p = 0.307). Comparisons were made between those analysed (defined as those who undertook the intervention and all three assessments, n = 321) and the dropouts (defined as those who completed the baseline questionnaire but did not progress to completing the 12 weeks post-intervention questionnaire, n = 104). The data showed that the dropouts had significantly poorer scores for several of the mental health metrics including: mental health (75.4 ± 14.5 vs 59.1 ± 22.4, t(424) = 6.438, p < 0.001), depression (2.5 ± 2.6 vs 3.8 ± 4.1, t(424) = − 2.936, p = 0.004), anxiety (1.7 ± 1.9 vs 2.5 ± 2.7, t(424) = − 2.636, p = 0.010) and life satisfaction (23.8 ± 6.5 vs 22.2 ± 7.9, t(424) = 1.977, p = 0.49).
Harms
There were no reported harms that arose through the trial. No harms were anticipated given that the cohort was a subclinical population and the strategies implemented were positive lifestyle and psychological behaviours.
Discussion
To our knowledge, this is the first randomized controlled trial to examine the effectiveness of an interdisciplinary online intervention combining an array of strategies from Lifestyle Medicine and Positive Psychology on mental health and emotional wellness amongst a subclinical population. Hence, interventions such as those employed in this study may provide a response to the repeated calls for lifestyle interventions, psychological strategies, and education programs for the promotion of mental health and primary prevention of common mental health disorders [5, 8,9,10,11].
Targeting mental health promotion and prevention through interventions such as that used in the present study may provide a protective ‘buffer’ for individuals. For example, enhanced positive emotion may increase an individual’s ability to cope when faced with adversity [13], and hence increase their resilience. The broaden-and-build theory asserts that the experiences of positive emotions may strengthen an individual’s personal, social and psychological resources, sparking upward spirals in their emotional wellbeing [63]. In turn, this may have a moderating impact on stress, anxiety and depressive symptoms [64].
A unique aspect of the intervention used in this study was its multicomponent approach. To date, numerous studies have investigated the effectiveness of Positive Psychology techniques for improving mental health, including expressing gratitude, practising forgiveness, positive thinking and engaging in service activities [38, 39]; however, these strategies are often used in isolation. Similarly, while lifestyle factors such as diet [32] and exercise [28, 33, 65] are increasingly used as management and treatment modalities for mental illness, they are infrequently combined with psychological strategies.
It is notable that the effect sizes observed in this study are relatively greater than those reported in two meta-analyses of randomized controlled trials, however, the studies in the meta-analyses were of a significantly smaller sample size and predominantly employed single-modality psychological strategies for the primary prevention of mental health [14, 58,59,60,61,62,63,64,65,66]. Further research is required to understand the underlying mechanisms of the larger effect sizes observed in the present study and if the multicomponent approach resulted in a compounding effect. Encouragingly, within Positive Psychology greater attention is being given to combining an array of psychological strategies [67], however, other evidence-based lifestyle factors, such as physical activity and nutrition, are typically not integrated into these interventions.
Over the past decade, wellness interventions focusing on mental health have increasingly moved online, as compared to the conventional face-to-face mode of delivery [60,61,62]. Online interventions have been shown to be efficacious and may yield several advantages over face-to-face delivery, including cost-effectiveness, ease of delivery and scalability [68].
Interestingly, the outcomes observed in this study are generally comparable to those observed in a cohort study that utilised the same intervention delivered face-to-face as part of a mandatory class for tertiary students [47]. However, there are several confounders in comparing the results of the cohort study to the present study, namely the participants in the present study were self-selected, of a broader age range and were generally healthier. There is a need to further explore the relative outcomes of mental health interventions when delivered online as compared to face-to-face.
Notably, the attrition rate in this study (24% at Week 24) was relatively low compared to that typically reported in online interventions that do not involve the support of a health professional (often as high as 45%) [39, 69]. A number of factors may have contributed to the low attrition rates observed in this study including the experiential pedagogical framework of the intervention and its interactive components, which are known to be key contributors to creating engagement in online interventions [26].
The observation that those participants who dropped out had poorer mental health scores than those who completed the intervention is notable. There is evidence to suggest that poor mental health and negative emotional states are linked with poor lifestyle choices [70, 71]. Conversely, better mental health is associated with healthy lifestyle choices [72] and according to the “upward spiral” theory, positive affect can aid long-term adherence to positive health behaviours [73]. Indeed, there is a reciprocal relationship between mental health and physical health outcomes because of the behavioural implications of poor mental health [74]. The implication of this observation is that while individuals with poorer mental health might have the greatest need of, and stand to benefit most from mental health interventions, it may be more difficult for them to engage and take positive steps. Certainly, this presents as an important area for further investigation.
Strengths and limitations
A strength of this study was that it involved participants from a broad age range (18 to 88 years) and geographically diverse regions. Another strength of the study is that the intervention used an e-learning management system that was not reliant upon follow-up support from a healthcare professional. This suggests that such interventions might represent a scalable, low-cost method for the promotion of mental health and emotional wellness on a population-level.
A limitation of this study is that the participants where self-selected and drawn from the same faith-based organization that funded the study, so they may have entered the intervention with a higher readiness for change than that of the general population, thus limiting the generalizability of the findings. Secondly, as commonly seen when participants self-select into a Positive Psychology intervention, the sex balance was skewed towards females, which may limit the generalizability of the intervention to male cohorts. Notably, studies of Positive Psychology interventions have not shown the mental health outcomes to be sex specific [14, 39, 41]. Thirdly, a limitation of this study was that it was registered retrospectively with the clinical trial registry, however, the full protocol for the study as documented in this publication was presented at an academic conference prior to data collection. Fourthly, as the study targeted mental health promotion, it does not inform the effectiveness of the intervention among a clinical population with a confirmed diagnosis. As discussed previously, this warrants further investigation given that a previous cohort study has indicated that individuals with lower levels of mental health reported the greatest benefits from the intervention [46].
Implications
This study has important implications for research and practice. Firstly, an early intervention based on an interdisciplinary approach, incorporating Lifestyle Medicine and Positive Psychology strategies, can be used to achieve significant improvements in mental health and emotional wellness. Hence, Clinicians should consider promoting lifestyle medicine strategies and their benefits to improve mental health. Secondly, while the positive mental health outcomes are encouraging, future studies are required to investigate the relative contribution of the various evidenced-based strategies incorporated into the intervention, as well as who responds best to the intervention (i.e. age and sex effects). Thirdly, further research is required to explore the potential for a compounding effect, whereby combining a broad array of evidence-based approaches for improving mental health and emotional wellness may result in greater benefits than a single-modality approach. Lastly, online modes of delivery may present a low-cost and scalable opportunity for mental health promotion to improve mental health and emotional wellness.
Conclusion
Online interdisciplinary interventions may be a cost-effective and scalable method of mental health promotion. There is a need for future studies to examine the impact of online interdisciplinary interventions on at-risk and clinical populations to assess their potential role in secondary and tertiary prevention.
Availability of data and materials
The data that support the findings of this study are available from Adventist Health through the Seventh-day Adventist Church (SPD) Ltd, but restrictions apply to the availability of these data, which were used under license for the current study, and so are not publicly available. Data are however available from the authors upon reasonable request and with permission of the Seventh-day Adventist Church (SPD) Ltd.
Abbreviations
- SF-36:
-
Short Form Survey (36 items)
- DASS-21:
-
Depression, Anxiety and Stress Scale (21-Items)
- SWLS:
-
Satisfaction With Life Scale
- TPB:
-
Theory of planned behaviour
- LETS:
-
Learn, experience, think and share
- GLM:
-
General linear modelling
References
- 1.
World Health Organization. Depression and other common mental disorders: Global health estimates. 2017; http://www.who.int/mental_health/management/depression/prevalence_global_health_estimates/en/. Accessed 27 June 2020.
- 2.
Roehrig C. Mental disorders top the list of the most costly conditions in the United States: $201 Billion. Health Aff. 2016;35(6):1130–5.
- 3.
Lacobucci G. NHS prescribed record number of antidepressants last year. 2019. https://www.bmj.com/content/364/bmj.l1508. Accessed 8 May 2020.
- 4.
National Center for Health Statistics. Antidepressant use among persons aged 12 and over: United States, 2011–2014. NCHS Data Brief: 283. 2017. https://www.cdc.gov/nchs/data/databriefs/db283.pdf Accessed 30 July 2019.
- 5.
Stephenson CP, Karanges E, McGregor IS. Trends in the utilisation of psychotropic medications in Australia from 2000 to 2011. Aust NZ J Psychiatry. 2013;47(1):74–87.
- 6.
Jorm AF, Patten SB, Brugha TS, Mojtabai R. Has increased provision of treatment reduced the prevalence of common mental disorders? Review of the evidence from four countries. World Psychiatry. 2017;16:90–9.
- 7.
Mars B, Heron J, Kessler D, et al. Influences on antidepressant prescribing trends in the UK: 1995–2011. Soc Psychiatry Psychiatr Epidemiol. 2017;52:193–200.
- 8.
Moncrieff J, Kirsch I. Efficacy of antidepressants in adults. BMJ. 2005;331:155–7.
- 9.
Sarris J, O’Neil A, Coulson CE, Schweitzer I, Berk M. Lifestyle medicine for depression. BMC Psychiatry. 2014;14:107–29.
- 10.
Cuijpers P. Examining the effects of prevention programs on the incidence of new cases of mental disorders: the lack of statistical power. Am J Psychiatry. 2003;160(8):1385–91.
- 11.
Ilyas A, Chesney E, Patel R. Improving life expectancy in people with serious mental illness: should we place more emphasis on primary prevention. Br J Psychiatry. 2017;211:194–7.
- 12.
Jacka FN, Mykletun A, Berk M. Moving towards a population health approach to the primary prevention of common mental disorders. BMC Med. 2012;10:149–55.
- 13.
Gloria CT, Steinhardt MA. Relationships among positive emotions, coping, resilience and mental health. Stress Health. 2016;32(2):145–56.
- 14.
Boiler L, Haverman M, Westerhof G, Riper H, Smit F, Bohlmeijer E. Positive psychology interventions: a meta-analysis of randomized controlled studies. BMC Public Health. 2013;13:119–38.
- 15.
Bolier L, Haverman M, Westerhof GJ, Riper H, Smit F, Bohlmeijer E. Positive psychology interventions: a meta-analysis of randomized controlled studies. BMC Public Health. 2013;13:119–39.
- 16.
Morton D, Mitchell B, Kent L, Egger G, Hurlow T. Lifestyle as medicine—past precepts for present problems. Aust Fam Physician. 2016;45(4):248–9.
- 17.
Jacka FN, O’Neil A, Opie R, et al. A randomised controlled trial of dietary improvement for adults with major depression (the ‘SMILES’ trial). BMC Med. 2017;15(1):23.
- 18.
Opie RS, O’Neil A, Itsiopoulos C, Jacka FN. The impact of whole-of-diet interventions on depression and anxiety: systematic review of randomised controlled trials. Public Health Nutr. 2015;18(11):2074–93.
- 19.
Morton D, Rankin P, Kent L, Dysinger W. The Complete Health Improvement Program (CHIP): history, evaluation, and outcomes. Am J Lifestyle Med. 2014;10:64–73.
- 20.
Ardisson Korat AV, Willett WC, Hu FB. Diet, lifestyle, and genetic risk factors for type 2 diabetes: a review from the Nurses’ Health Study, Nurses’ Health Study 2, and Health Professionals’ Follow-up Study. Curr Nutr Rep. 2014;3(4):345–54.
- 21.
Åkesson A, Larsson SC, Discacciati A, Wolk A. Low-risk diet and lifestyle habits in the primary prevention of myocardial infarction in Men. J Am Coll Cardiol. 2014;64(13):1299–306.
- 22.
Orlich MJ, Fraser GE. Vegetarian diets in the Adventist Health Study 2: a review of initial published findings. Am J Clin Nutr. 2014;100(Suppl 1):353S-S358.
- 23.
Dawber TR, Moore FE, Mann GV II. Coronary heart disease in the Framingham study. Int J Epidemiol. 2015;44(6):1767–80.
- 24.
Wright N, Wilson L, Smith M, Duncan B, McHugh P. The BROAD study: a randomised controlled trial using a whole food plant-based diet in the community for obesity, ischaemic heart disease or diabetes. Nutr Diabetes. 2017;7(3):256.
- 25.
Marsh K, Brand-Miller J. Vegetarian diets and diabetes. Am J Lifestyle Med. 2011;5(2):135–43.
- 26.
Cotter AP, Durant N, Agne AA, Cherrington AL. Internet interventions to support lifestyle modification for diabetes management: a systematic review of the evidence. J Diabetes Complicat. 2014;28(2):243–51.
- 27.
Lifestyle WR. Lifestyle and mental health. Am Psychol. 2011;66(7):579–92.
- 28.
Knapen J, Vancampfort D, Morien Y, Marchal Y. Exercise therapy improves both mental and physical health in patients with major depression. Disabil Rehabil. 2015;37(16):1490–5.
- 29.
Olafsdottir KB, Kristjansdottir H, Saavedra JM. Effects of exercise on depression and anxiety. A comparison to transdiagnostic cognitive behavioral therapy. Community Ment Health J. 2018;54(6):855–9.
- 30.
Alhalel N, Schueller SM, O’Brien MJ. Association of changes in mental health with weight loss during intensive lifestyle intervention: does the timing matter? Obes Sci Pract. 2018;4(2):153–8.
- 31.
Conner TS, Brookie KL, Carr AC, Mainvil LA, Vissers MC. Let them eat fruit! The effect of fruit and vegetable consumption on psychological well-being in young adults: a randomized controlled trial. PLoS ONE. 2017;12(2):e0171206.
- 32.
Firth J, Marx W, Dash S, et al. The effects of dietary improvement on symptoms of depression and anxiety: a meta-analysis of randomized controlled trials. Psychosom Med. 2019. https://www.ncbi.nlm.nih.gov/pubmed/30720698. Accessed 5 February 2020.
- 33.
Kvam S, Kleppe CL, Nordhus IH, Hovland A. Exercise as a treatment for depression: a meta-analysis. J Affect Disord. 2016;202:67–86.
- 34.
Baglioni C, Spiegelhalder K, Nissen C, Riemann D. Clinical implications of the causal relationship between insomnia and depression: how individually tailored treatment of sleeping difficulties could prevent the onset of depression. EPMA J. 2011;2(3):287–93.
- 35.
Buysse DJ. Sleep health: can we define it? Does it matter? Sleep. 2014;37(1):9–17.
- 36.
Morselli LL, Guyon A, Spiegel K. Sleep and metabolic function. Pflugers Arch. 2012;463(1):139–60.
- 37.
Kobau R, Seligman ME, Peterson C, et al. Mental health promotion in public health: Perspectives and strategies from positive psychology. Am J Public Health. 2011;101(8):e1-9.
- 38.
Proyer RT, Gander F, Wellenzohn S, Ruch W. Strengths-based positive psychology interventions: A randomized placebo-controlled online trial on long-term effects for a signature strengths- vs. a lesser strengths-intervention. Front Psychol. 2015;6:456.
- 39.
Gander F, Proyer RT, Ruch W. Positive psychology interventions addressing pleasure, engagement, meaning, positive relationships, and accomplishment increase well-being and ameliorate depressive symptoms: a randomized, placebo-controlled online study. Front Psychol. 2016;7:686.
- 40.
Seligman ME, Steen TA, Park N, Peterson C. Positive psychology progress: empirical validation of interventions. Am Psychol. 2005;60(5):410–21.
- 41.
Sin NL, Lyubomirsky S. Enhancing well-being and alleviating depressive symptoms with positive psychology interventions: a practice-friendly meta-analysis. J Clin Psychol. 2009;65(5):467–87.
- 42.
Gladstone TG, Marko-Holguin M, Rothberg P, et al. An internet-based adolescent depression preventive intervention: study protocol for a randomized control trial. Trials. 2015;16(1):1–17.
- 43.
Firth J, Torous J, Carney R, et al. Digital technologies in the treatment of anxiety: recent innovations and future directions. Curr Psychiatry Rep. 2018;20(6):44.
- 44.
Hennemann S, Farnsteiner S, Sander L. Internet- and mobile-based aftercare and relapse prevention in mental disorders: a systematic review and recommendations for future research. Internet Interv. 2018;14:1–17.
- 45.
Hayes JF, Maughan DL, Grant-Peterkin H. Interconnected or disconnected? Promotion of mental health and prevention of mental disorder in the digital age. Br J Psychiatry. 2016;208(3):205–7.
- 46.
Morton D, Hinze J, Craig B, et al. A multimodal intervention for improving the mental health and emotional well-being of college students. Am J Lifestyle Med. 2020;14(2):2016–24.
- 47.
Hinze J, Morton D. Wellbeing education for educators. J Christ Educ. 2017;11(2, 9):50–9.
- 48.
Renfrew ME, Morton DP, Morton JK, et al. A web- and mobile app-based mental health promotion intervention comparing email, short message service, and videoconferencing support for a healthy cohort: Randomized comparative study. J Med Internet Res. 2020;22(1):e15592.
- 49.
Renfrew ME, Morton DP, Morton JK, Hinze JS, Przybylko G, Craig BA. The influence of three modes of human support on attrition and adherence to a web- and mobile app-based mental health promotion intervention in a nonclinical cohort: randomized comparative study. J Med Internet Res. 2020;22(9):e19945.
- 50.
Ajzen I. The theory of planned behaviour: reactions and reflections. Psychol Health. 2011;26(9):1113–27.
- 51.
Ware J, Sherbourne C. The MOS 36-item short-form health survey (SF-36). I. Conceptual framework and item selection. Med Care. 1992;30(6):473–83.
- 52.
Contopoulos-Ioannidis DG, Karvouni A, Kouri I, Ioannidis JP. Reporting and interpretation of SF-36 outcomes in randomised trials: systematic review. BMJ. 2009;338:a3006.
- 53.
Brazier J, Harper R, Jones N, et al. Validating the SF-36 health survey questionnaire: new outcome measure for primary care. BMJ. 1992;305(6846):160–4.
- 54.
Jenkinson C, Wright L, Coulter A. Criterion validity and reliability of the SF-36 in a population sample. Qual Life Res. 1994;3(1):7–12.
- 55.
Osman A, Wong JL, Bagge CL, Freedenthal S, Gutierrez PM, Lozano G. The Depression Anxiety Stress Scales-21 (DASS-21): further examination of dimensions, scale reliability, and correlates. J Clin Psychol. 2012;68(12):1322–38.
- 56.
Lovibond P, Lovibond S. The structure of negative emotional states: Comparison of the Depression Anxiety Stress Scales (DASS) with the Beck Depression and Anxiety Inventories. Beh Res Ther. 1995;33(3):335–43.
- 57.
Le M, Tran T, Holton S, Nguyen H, Wolfe R, Fisher J. Reliability, convergent validity and factor structure of the DASS-21 in a sample of Vietnamese adolescents. PLoS ONE. 2017;12(7):e0180557.
- 58.
Osman A, Wong J, Bagge C, Freedenthal S, Guitierrez P, Lozano G. The Depression Anxiety Stress Scales-21(DASS-21): further examination of dimensions, scale reliability, and correlates. J Clin Psychol. 2012;68(12):1322–38.
- 59.
Jang S, Kim ES, Cao C, et al. Measurement invariance of the satisfaction with life scale across 26 countries. J Cross-Cult Psychol. 2017;48(4):560–76.
- 60.
Pavot W, Diener E, Colvin C, Sandvik E. Further validation of the Satisfaction With Life Scale: evidence for the cross-method convergence of well-being measures. J Pers Assess. 1991;57(1):149–61.
- 61.
Vassar M. A note on the score reliability for the Satisfaction With Life Scale: an RG study. Soc Indic Res. 2008;86:47–57.
- 62.
Christensen H, Griffiths KM, Jorm AF. Delivering interventions for depression by using the internet: randomised controlled trial. BMJ. 2004;328(7434):265–9.
- 63.
Fredrickson B. The role of positive emotions in positive psychology: the broaden-and-build theory of positive emotions. Am Psychol. 2001;56(3):218–26.
- 64.
Burns AB, Brown JS, Sachs-Ericsson N, et al. Upward spirals of positive emotion and coping: replication, extension, and initial exploration of neurochemical substrates. Pers Individ Diff. 2008;44(2):360–70.
- 65.
Legrand FD, Neff EM. Efficacy of exercise as an adjunct treatment for clinically depressed inpatients during the initial stages of antidepressant pharmacotherapy: an open randomized controlled trial. J Affect Disord. 2016;191:139–44.
- 66.
Deady M, Choi I, Calvo RA, Glozier N, Christensen H, Harvey SB. eHealth interventions for the prevention of depression and anxiety in the general population: a systematic review and meta-analysis. BMC Psychiatry. 2017;17(1):310.
- 67.
Hendriks T, Schotanus-Dijkstra M, Hassankhan A, de Jong J, Bohlmeijer E. The efficacy of multi-component positive psychology interventions: a systematic review and meta-analysis of randomized controlled trials. J Happiness Stud. 2019;21(1):357–90.
- 68.
van Bastelaar K, Pouwer F, Cuijpers P, Riper H, Snoek F. Web-based depression treatment for type 1 and type 2 diabetic patients: a randomized controlled trial. Diabetes Care. 2011;34(2):320–5.
- 69.
Eysenbach G, Blankers M, Warmerdam L, Schulz DN. Economic evaluation of a web-based tailored lifestyle intervention for adults: findings regarding cost-effectiveness and cost-utility from a randomized controlled trial. J Med Internet Res. 2014;16(3):91.
- 70.
Velten J, Lavallee KL, Scholten S, et al. Lifestyle choices and mental health: a representative population survey. BMC Psychol. 2014;2(1):58.
- 71.
Verhaeghe N, De Maeseneer J, Maes L, Van Heeringen C, Annemans L. Health promotion in mental health care: perceptions from patients and mental health nurses. J Clin Nurs. 2013;22(11–12):1569–78.
- 72.
Velten J, Bieda A, Scholten S, Wannemuller A, Margraf J. Lifestyle choices and mental health: a longitudinal survey with German and Chinese students. BMC Public Health. 2018;18(1):632.
- 73.
Van Cappellen P, Rice EL, Catalino LI, Fredrickson BL. Positive affective processes underlie positive health behaviour change. Psychol Health. 2018;33(1):77–97.
- 74.
Lianov L, Fredrickson PD. Roots of Positive Change: Optimizing Healthcare with Positive Psychology. In: American College of Lifestyle Medicine; 2019.
Acknowledgements
The authors would like to thank the participants who were involved in this study. We also acknowledge the valuable contribution of Jared Madden for his expertise and support with the online development of the intervention.
Funding
This study was supported by Adventist Health through the Seventh-day Adventist Church (SPD) Ltd. The funding body had no role in the design of the study, collection, analysis, and interpretation of data; writing the manuscript; or the decision to submit the report for publication. No authors have any financial interest in this version of the intervention. DP is the Director of a profit-for-purpose Trust that promotes a version of the intervention used in this study in settings outside of the faith-based organisation. He has received no financial remuneration from this Trust. No other authors of this paper have any financial disclosures to report.
Author information
Affiliations
Contributions
GP, DM, LK and PB designed the study. GP & DM developed the intervention. GP drafted the manuscript, coordinated the trial and analysed the data. DM & LK provided supervision in the coordination of the trial and analysing the data. DM, LK & JM were major contributors in providing supervision in writing the manuscript. DM, JM, LK, JH, MR provided critical revision of the article. All authors read and approved the final manuscript.
Corresponding author
Ethics declarations
Ethics approval and consent to participate
This study was approved by Avondale Human Research Ethics Committee [project number 2017:13]. The trial protocol is registered at The Australian New Zealand Clinical Trials Registry (ACTRN12619000993190). Registered on 12 July 2019 (Retrospectively registered). All participants provided online informed consent before screening took place.
Consent for publication
Not applicable.
Competing interests
GP is a Health Strategist employed by the Seventh-day Adventist Church (SPD) Ltd that promotes a version of the intervention used in this study through the faith-based organisation’s network and community.
Additional information
Publisher's Note
Springer Nature remains neutral with regard to jurisdictional claims in published maps and institutional affiliations.
Supplementary Information
Additional file 1: Supplementary Table 1
. Changes in the outcome measures across time.
Additional file 2: Supplementary Table 2
. Correlations between the outcome measures.
Rights and permissions
Open Access This article is licensed under a Creative Commons Attribution 4.0 International License, which permits use, sharing, adaptation, distribution and reproduction in any medium or format, as long as you give appropriate credit to the original author(s) and the source, provide a link to the Creative Commons licence, and indicate if changes were made. The images or other third party material in this article are included in the article's Creative Commons licence, unless indicated otherwise in a credit line to the material. If material is not included in the article's Creative Commons licence and your intended use is not permitted by statutory regulation or exceeds the permitted use, you will need to obtain permission directly from the copyright holder. To view a copy of this licence, visit http://creativecommons.org/licenses/by/4.0/. The Creative Commons Public Domain Dedication waiver (http://creativecommons.org/publicdomain/zero/1.0/) applies to the data made available in this article, unless otherwise stated in a credit line to the data.
About this article
Cite this article
Przybylko, G., Morton, D., Kent, L. et al. The effectiveness of an online interdisciplinary intervention for mental health promotion: a randomized controlled trial. BMC Psychol 9, 77 (2021). https://doi.org/10.1186/s40359-021-00577-8
Received:
Accepted:
Published:
Keywords
- Mental health promotion
- Lifestyle medicine
- Positive psychology
- Randomized controlled trial
- Online
- Interdisciplinary

